Author: Joonhee Lim
Date: 2022/08/23
출처: https://ieeexplore.ieee.org/document/9729796
https://mtreiber.de/publications/MOBIL_TRB.pdf
Autonomous Vehicle Cut-In Algorithm for Lane-Merging Scenarios via Policy-Based Reinforcement Learning Nested Within Finite-Stat
Lane-merging scenarios pose highly challenging problems for autonomous vehicles due to conflicts of interest between the human-driven and cutting-in autonomous vehicles. Such conflicts become severe when traffic increases, and cut-in algorithms suffer from
ieeexplore.ieee.org
0. Motivation
필자가 관심이 있는 Path Planning 관련 논문들을 읽다보면 시뮬레이터 내 Ego Vehicle의 주변 차량들의 Driver Model에 대한 언급이 자주 나온다. 이전 논문 리뷰에서도 확인할 수 있고 대부분 종방향 Model로는 IDM(Intelligent Driver Model)을 사용하고 횡방향 즉 차선변경에 대한 Model로는 MOBIL이라는 것을 이용하는 것을 확인할 수 있었다. 보편적으로 사용하는 Driver Model의 수식정도는 알고 있어야 보다 좋은 연구를 할 수 있을 것 같아 정리해보도록 한다.
1. MOBIL?
MOBIL(Minimizing Overall Braking Induced by Lane Changes)
말 그대로 Car-Following Model을 위한 일반적인 차선 변경 모델이다.
차선 변경의 위험성 추정은 종방향 가속도에 기반하여 이루어지며 이를 통해 Symmetric and asymmetric passing 규칙 모두에 대해 일반적인 안전한 기준을 만들 수 있게 된다. 안전 기준은 차선 변경에 대한 충돌을 방지하지만, '예의 Factor'을 통해 차선 변경과 관련된 다른 운전자의 불편함을 고려한다. 해당 Factor는 IDM과 비슷하게 공격적인 운전자와 친절한 운전자 모두를 선보일 수 있게 한다. 보통 이 모델은 IDM을 자동차 추종 모델로 하여 자동차와 트럭의 교통 시뮬레이션에 함께 적용한다.
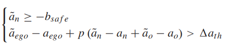
2. 수식을 통한 설명
해당 수식을 통해 차선 변경을 결정한다.

$\tilde{a_n}$ : 목표 차선의 끼어들 자리의 후방차량 가속도
$b_{safe}$ : 최대 감속도 (클수록 공격적인 운전자)
$\tilde{a_{ego}}$ : 목표 차선에서의 Ego 차량 가속도
$\Delta{a_{th}}$ : 차선변경 쓰레쉬홀드 (클수록 보수적인 운전자)
p : 예의 Factor (클수록 Ego 차량이 주변 차량에 양보한다.)
n : 목표 차선의 끼어들 자리의 후방 차량
o : 현재 차선의 후방 차량
즉 목표 차선과 현재 차선의 후방 차량 가속도를 통해 차선 변경을 결정하는 것이다.
좀 더 풀어서 말하면 설정해둔 최대 감속도보다 목표 차선 후방 차량의 가속도가 줄지 않는 선에서 설정해둔 차선변경 쓰레쉬홀드보다 위 수식 값이 크면 차선 변경을 수행한다는 것이다.
MOBIL은 차선 변경 타이밍을 결정하는 알고리즘이다. 또다른 알고리즘에서 목표 차선을 설정을 해줘야 한다. 그 목표 차선으로 어느 타이밍에 끼어들지 정한다.
가까운 미래에 IDM + MOBIL이 적용된 시뮬레이터에서 차량의 Path Planning 혹은 Decision Making을 진행해볼 예정이다. 그래도 알고 쓰는 것이 추후에 도움이 되지 않을까.. 하는 생각에 정리해보았다. Good
'Autonomous Driving' 카테고리의 다른 글
| [AD] DWA(Dynamic Window Approach) 알고리즘 설명 및 개선 과정 (0) | 2022.08.27 |
|---|---|
| [AD] ILQR(Iterative Linear Quadratic Regulator)란 무엇일까? (0) | 2022.08.23 |
| [AD] ACC(Adaptive Cruise Control)란 무엇일까? (0) | 2022.08.22 |
| [AD] MPC(Model Predictive Control) VS LQR(Linear Quadratic Regulator) (0) | 2022.08.14 |
| [AD] LQR(Linear Quadratic Regulator)란 무엇일까? (0) | 2022.08.14 |