Author: Joonhee Lim
Date: 2022/09/01
논문: https://ieeexplore.ieee.org/stamp/stamp.jsp?arnumber=9517448
0. Motivation

자율주행에서 내가 관심 있는 Motion Planning 혹은 Tracking Controller(사실 내가 이거까지 해야하나 싶지만)에 대해 공부하다가 문득 Tracking 알고리즘 중 괜찮은 모델은 무엇일까라는 생각이 들어 Tracking Algorithm의 성능을 비교한 논문에 대해서 잠시 읽어보았다.
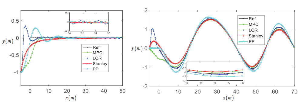
결론부터 말하자면 MPC > LQR > Stanley > PPC 였다.
1. Results

The Linear Quadratic Regulator controller has an explicit and linear solution using low online computational burden, but does not take constraints into considerations. The Model Predictive Control has proactive behaviors and takes constraints into account. With a little high computational burden, it has least tracking errors than the rest controllers.
1) PPC
쉬운경로지만 Reference Path와 차이가 꽤 나는 것을 확인할 수 있었다. 특히 코너 곡률이 큰 곳에서 비교적 많은 오류를 보인다. Lookahead distance를 크게 잡으면 덜 정확하지만 안정적이다.(너무 안정확함;;)
2) Stanley
Reference Path보다 안쪽으로 도는 경향이 있는 것 같다. 곡률이 큰 코너에서 많은 오류가 생긴다. MPC LQR보다는 오차가 있는 편이다.
3) LQR
낮은 온라인 연산을 사용하는 선형 솔루션이며 Constraints가 없다.
4) MPC
다른 컨트롤러보다 연산량이 좀 있지만 정확도가 확연히 좋다.
2. Performance

다른 논문에서도 MPC 및 LQR의 성능이 좋은 것을 확인할 수 있었다.
출처: https://ietresearch.onlinelibrary.wiley.com/doi/pdf/10.1049/itr2.12051

MPC 연산량이 얼마나 많길래 차이가 이렇게 많이 나는지 확인을 해봐야겠다.
+ Stanley랑 PPC를 한번 정리해보고자 한다.(매우 간단해 보였음)
'Autonomous Driving' 카테고리의 다른 글
| [AD] Stanley Tracking Algorithm 설명 (0) | 2022.09.01 |
|---|---|
| [AD] Pure Pursuit Control Tracking Algorithm 설명 (0) | 2022.09.01 |
| [AD] TEB(Timed-Elastic-Bands) 알고리즘 설명 (0) | 2022.08.27 |
| [AD] DWA(Dynamic Window Approach) 알고리즘 설명 및 개선 과정 (0) | 2022.08.27 |
| [AD] ILQR(Iterative Linear Quadratic Regulator)란 무엇일까? (0) | 2022.08.23 |