728x90
Author: Joonhee Lim
Date: 2022/09/01
출처: https://iridescentboy.tistory.com/69
0. Motivation
이전 글인 Tracking Algorithm 성능 비교 논문을 읽다가 수식이 꽤 간단해보여서 정리해보려고 한다.
+ 이 놈은 뭔데 성능이 안 좋지 생각이 들어서 분석해보고자 한다. 귀찮아서 참고한 블로그 대부분을 인용할 예정이다.
1. What is PPC
PPC의 순서도는 다음과 같다.

이 알고리즘 역시 Local Path Planner가 Path를 만들어주면 Path를 Tracking하는 Control 알고리즘이다.
파라미터 튜닝이 꽤나 중요하다고 한다.

Pure Pursuit 알고리즘의 핵심은 차량의 뒷바퀴가 Look Ahead Point에 도달하는 것이다.
때문에 앞쪽 Orientation은 고려하지 않는다. 젠장.

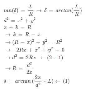
수식은 다음과 같다. 너무 간단해서 어이가 없다.
일반적으로 Vehicle Model은 Bicycle Model이나 Ackerman Model로 가정한다.
차량의 제어 추종점은 후륜 중심이다.
반응형
'Autonomous Driving' 카테고리의 다른 글
| [AD] Bicycle Kinematic Model 설명 (0) | 2022.09.02 |
|---|---|
| [AD] Stanley Tracking Algorithm 설명 (0) | 2022.09.01 |
| [AD] Tracking Controller 성능 비교(MPC, PPC, PID, LQR, Stanley) (0) | 2022.09.01 |
| [AD] TEB(Timed-Elastic-Bands) 알고리즘 설명 (0) | 2022.08.27 |
| [AD] DWA(Dynamic Window Approach) 알고리즘 설명 및 개선 과정 (0) | 2022.08.27 |