Author: Joonhee Lim
Date: 2022/07/28
출처: https://www.youtube.com/watch?v=35lZlO6NrO0
https://archit-rstg.medium.com/two-to-four-bicycle-model-for-car-898063e87074
0. Motivation
이전에는 차량의 질량, 힘들을 고려하지 않은 Kinematic Model을 설명하였지만 아무래도 현실에서 Model을 사용하기 위해서는 Dynamic Model이 필요하기에 질량과 힘을 고려하는 Dynamic Model에 대해 정리해보고자 한다. 물론 시뮬레이터 상에서 주행할 때 Dynamic model을 쓸지는 잘 모르겠지만 일단 정리해보고자 한다.
1. Bicycle Dynamic model
좌표계에 Bicycle Model을 나타낸 그림이다.

파라미터는 다음과 같다.
m: 차량 질량
$I_z$: Z축 관성모멘트
$a, b$: 전륜과 후륜과 질량중심 사이의 거리
$C_{\alpha, f}, C_{\alpha, r}$: cornering stiffness of the front and rear tires
$\alpha_f$, $\alpha_r$: 전륜 후륜 슬립각
$\delta_f$: Steering angle
r: 각속도
V: 횡방향 속도
해당 모델에도 몇 가지 가정이 들어간다.
1) 차량의 모션은 X,Y 좌표계로 제한된다.
2) 차량은 강체로 고려되며 그의 동역학은 운동법칙에 따라 결정된다.
3) 횡방향 타이어 모델의 힘은 Linear tire model을 통해 만들어진다.
4) Sterring Angle값이 매우 작다.
5) 종방향 속도는 일정하다.
수식 설명
1) 전륜 후륜 슬립각

2) 전륜 Steering

3) 운동 방정식

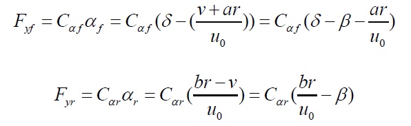
$F_{yf}$, $F_{yr}$: 전륜 후륜에 들어가는 횡방향 힘
m: 차량의 질량
u0: x 방향 속도
$\beta$: sideslip angle at CG
v: 종방향 속도
r: 각속도

앞선 위의 수식과 다음 식을 합치면

또한 Moment를 고려한 수식

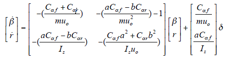
위의 수식들 전부를 통해다음과 같은 State Space Equation을 만들 수 있다.

또한 두 개의 추가 Variable을 다음과 같이 정의하고

State Space Equation을 다시 정립할 수 있게 된다.

'Autonomous Driving' 카테고리의 다른 글
| [AD] D*(Dynamic A*) 알고리즘 설명 (0) | 2022.09.03 |
|---|---|
| [AD] Ackermann Kinematic Model 설명 (0) | 2022.09.02 |
| [AD] Bicycle Kinematic Model 설명 (0) | 2022.09.02 |
| [AD] Stanley Tracking Algorithm 설명 (0) | 2022.09.01 |
| [AD] Pure Pursuit Control Tracking Algorithm 설명 (0) | 2022.09.01 |