Author: Joonhee Lim
Date: 2022/08/12
출처: https://en.wikipedia.org/wiki/Intelligent_driver_model
0. IDM(Intelligent Driver Model)이란 무엇일까
지능형 운전자 모델(IDM)은 고속도로 및 도시 교통 시뮬레이션을 위한 연속 시간 도메인의 차량 following 모델이다.
즉, 시뮬레이션 내에서 Ego Vehicle 주변에 널려있는 차량들을 맡고 있다.
주변 차량들 또한 실제 운전자처럼 운전해야 알고리즘 검증 및 테스트가 의미가 있어지기에 이러한 모델들이 나오는 것이다.
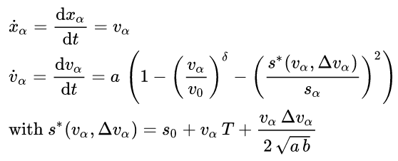
1. Model Definition



Vehicle의 위치와 속도에 대한 동역학적 모델은 다음과 같이 구성된다.
desired velocity v0: free traffic 상황에서 해당 velocity로 주행한다. (증가 시 기본 속도가 빨라짐)
minimum spacing s0: 앞 차와 두는 최소한의 거리다. (증가 시 안정성이 강해짐)
desired time headway T: 연속하는 2대의 차가 어느 지점을 통과하는 시간 간격을 측정한 시간(작을수록 Agressive한 운전자)
acceleration a: 차량 최대 가속도(증가 시 갑자기 빨라질 수 있음 -> Aggressive)
comfortable braking deceleration b: 감속할 때의 가속도(감속 시 갑자기 감속까지 가능 -> Aggressive)
length of vehicle l: 차량의 길이
parameter δ은 일반적으로 4로 설정한다. (클수록 급변하는가?)

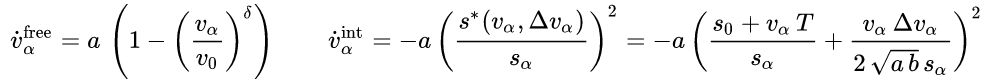
Free road에서는 다음과 같이 가속도가 설정되어 있으며 v0로 수렴한다.
단어 정리
- 차두거리(Spacing space headway): 주행하는 차량의 맨 앞 부분부터 앞의 차량 맨 앞까지의 거리
- 차두시간(time headway): 연속하는 2대의 차가 어느 지점을 통과하는 시간 간격을 측정한 시간
'Autonomous Driving' 카테고리의 다른 글
| [AD] ACC(Adaptive Cruise Control)란 무엇일까? (0) | 2022.08.22 |
|---|---|
| [AD] MPC(Model Predictive Control) VS LQR(Linear Quadratic Regulator) (0) | 2022.08.14 |
| [AD] LQR(Linear Quadratic Regulator)란 무엇일까? (0) | 2022.08.14 |
| [AD] MPC(Model Predictive Control)란 무엇일까? (2) (0) | 2022.08.13 |
| [AD] MPC(Model Predictive Control)란 무엇일까? (1) (0) | 2022.08.13 |