Autonomous Driving
2022. 8. 22.
[AD] ACC(Adaptive Cruise Control)란 무엇일까?
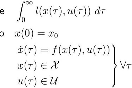
Author: Joonhee Lim Date: 2022/08/22 출처: https://ko.wikipedia.org/wiki/%EC%A0%81%EC%9D%91%ED%98%95_%EC%88%9C%ED%96%A5_%EC%A0%9C%EC%96%B4_%EC%9E%A5%EC%B9%98 0. Motivation 차량 자율주행 관련 논문을 읽다 보면 IDM(Intelligent Driver Model), MPC(Model Predictive Control) 등 다양한 용어가 등장한다. 허나 다른 단어들을 뚫고 내 눈을 지속적으로 자극하던 단어가 있었으니.. ACC(Adaptive Cruise Control)이다. 필자의 연구실에서도 ACC와 관련된 연구가 진행되고 있기에 갑자기 정리해보고 싶은 욕구가 생겨 급발진 ..